
Grégoire Le Campion - 02 octobre 2025

Qu’est ce qu’un arbre de décision ?
1- C’est une méthode relativement jeune, l’article de référence date de 1984 (L. Breiman et al. : Classification and Regression Trees. Wadsworth, 1984.),
2- qui appartient au champ des méthodes d’apprentissage supervisées.
3- C’est un outil graphique et analytique permettant de représenter visuellement une succession de choix ou de tests à effectuer menant à différents résultats possibles,
4 - qui vise à prédire ou expliquer les valeurs prisent par une variable, que vous aurez choisie, en fonction d’un ensemble d’autres variables que vous aurez sélectionnées.
Enfin, c’est un outil particulièrement intuitif car il mime notre façon naturelle de raisonner par questions successives.
Ceci est un arbre de décision

ça aussi…

Et aussi ça…

Etc…

L’usage du multivarié en SHS c’est un peu ça…

Alors qu’avec les arbres de décision :
Mais surtout on peut étudier de la même manière des variables quanti ou quali (on parlera d’arbre de régression ou de classification), dans une approche mixte c’est à dire utiliser simultanément dans nos prédicteurs des variables continues, ordinales ou qualitatives.
1- Si la modération/intéraction est gérée naturellement les arbres ne peuvent pas étudier d’effet de médiations.
2- Moins efficace si les relations sont … linéaires et moins efficaces dans la prédiction que les régressions - à conditions que toutes leurs conditions sont respectées !!!!
3- Pas d’extrapolation : un arbre ne prédit pas au delà de ce qui est observé dans les valeurs d’entraînement
4- Pas d’inférence statistique : donc pas de significativité, de p-values, de coefficients, etc.
6- Quantification difficile des effets : pas de coefficient et l’importance d’une variable dépend de sa place dans l’arbre
7- Prédictions en escalier : Les arbres produisent des prédictions constantes par morceaux (effet “marche d’escalier”). Une régression donne des prédictions continues et lisses, plus réalistes pour beaucoup de phénomènes naturels.
8- Sensible aux petits échantillons
9- Risques de surapprentissage : c’est le piège majeur !
L’arbre de décision apporte une solution intéressante aux défauts et limites des méthodes multivariées classiques.
L’arbre de décision est un outil tout terrain qui peut être exploratoire, descriptif ou décisionnel lorsque l’on veut prédire ou expliquer des données :
Bref un outil pratique en SHS !!!
Comment pousse un arbre ?
1- La racine représente l’ensemble des données, il s’agit de notre point de départ.

2- Une première question binaire relative à l’une des variables prédictives est posé.

3- Chacun des deux groupes obtenus peut à son tour être séparé en deux en choisissant à nouveau la meilleure question binaire possible à poser à l’aide du meilleur prédicteur possible.

4- Le processus se répète de manière récursive jusquà ce que certains critères d’arrêts soient respectés

Cette question est en réalité celle de la méthode de partitionnement de l’arbre.
Si le prédicteur est une variable quanti, la question se pose par rapport à un seuil.
Si la variable est quali, la réponse porte sur une modalité ou un sous ensemble des modalité de la variable quali.
L’algorithme va pour ce faire tester (quasi) toutes les possibilités : tous les seuils pour toutes les variables quanti et tous les sous ensemble pour toutes les variables quali !
L’objectif de l’ algorithme est de chercher la meilleure question à poser à un prédicteur dont la réponse permettra de créer des sous groupes les plus homogènes possible !
La question au prédicteur X qui permet de maximiser le gain d’information, c’est à dire réduire le plus possible l’erreur de prévision, est la bonne question !
Pour un arbre de classification le gain d’information va être évalué grêce à l’indice de Gini (le plus souvent) ou un indice d’entropie.
Pour un arbre de régression c’est la variance intra groupe .
Cette question du modèle créé pour chaque groupe d’individus renvoie simplement à comment interpréter les sous-groupes.
Le coeur de l’interprétation est lié au principe même de création des arbres de décision : subdiviser nos données en sous-groupe les plus homogènes possibles en leur sein (concernant la variable étudiée) et différents les uns des autres
Comme les sous-groupes d’individus sont supposées suffisamment homogènes ont fait généralement le choix d’un ajustement par une constante.
Comment arrêter la croissance de l’arbre ?
L’objectif du découpage optimal est à la fois de réduire l’erreur de prédiction tout en évitant un surajustement où chaque groupe d’individus est composée d’un unique individu.
Ou comment trouver le CP optimal ?
Pour se faire on peut se baser sur plusieurs critère :
1- des critères a priori :
2- Retenir le nombre de groupes permettant de minimiser l’erreur de prédiction à l’aide de la validation croisée.
C’est cette méthode que l’on va en général privilégier.
Il existe plusieurs méthodes mais la plus populaire est la validation croisée à k blocs (k-fold cross-validation en anglais)
Son objectif : tester la prédiction d’un modèle
on divise notre échantillon avec d’un côté une partie qui servira pour entraîner le modèle et une autre partie sur laquelle sera testé le modèle.
On répète cette opération k fois avec des échantillons de tests de même taille mais sélectionnés aléatoirement parmi nos individus et des échantillons d’entraînement qui devront également avoir la même taille et être sélectionnés aléatoirement.

Cela se fait en plusieurs étapes :
1- On produit un arbre très complexe, très grand sans se préoccuper du surajustement !
L’objectif est que cet arbre premier capture le plus de pattern possible : on parle d’arbre maximal ou complet
A partir de cette arbre l’algorithme génère une séquence d’arbres de plus en plus simples.
Pour chaque valeur de CP (Complexity Parameter), on obtient un arbre élagué différent.
2- On recherche par validation croisée le CP optimal:
xerror
3- On sélectionne le CP optimal, qui correspond à l’élagage optimal.
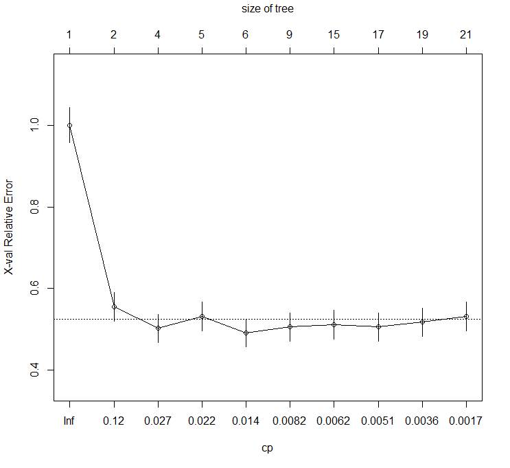
Critère 1 : le CP minimal
L’erreur d’apprentissage diminue constamment jusqu’au surajustement à un 1 individu, alors que l’erreur en validation croisée diminue jusqu’à la taille optimale de l’arbre puis réaugmente. La réaugmentation indique le surajustement
On choisit le xerror le plus faible
Critère 2 : Règle du 1-SE
On choisit le CP le plus élevé dont l’erreur reste dans un écart-type de l’erreur minimale :on obtient un arbre plus simple, donc plus interprétable, sans perdre beaucoup en performance.
CP optimal = erreur de validation croisée minimum (xerror) + écart-type de l’erreur de validation croisée minimum (xstd)
Merci de votre attention et à vous de jouer !
Pour accéder aux données et au dépôt : https://github.com/LeCampionG/JA_somate_2025_arbredecision
A l’application clic-bouton : https://analytics.huma-num.fr/Gregoire.LeCampion/Arbre_de_decision/
Contact : gregoire.lecampion@cnrs.fr
Diapositives libres (CC BY-SA 4.0)
On commence par charger nos données. Notre objectif tenter de prédire la survie au nauffrage du Titanic !
Nous utiliserons donc les données issue du package titanic
library(titanic)
# Ce jeux de données correspond à : data("titanic_train"), qui est un jeu d'entraînement du package titanic
library(dplyr)
library(here)
# On situe le dossier dans lequel se trouve nos données
csv_path <- here("data", "titanic_data.csv")
# Lecture du CSV dans un dataframe
titanic_data <- read.csv(csv_path)
# Nettoyage rapide
titanic_data <- titanic_data %>%
mutate(
Survived = factor(Survived, labels = c("Non", "Oui")),
Pclass = factor(Pclass),
Sex = factor(Sex),
Embarked = factor(Embarked)
)
Il existe plusieurs package pour réaliser des arbres de décisions dans R : mais le package rpart est le package standard qui est même fourni nativement dans R.
Nous avons ici parlé uniquement des arbres qui fonctionne avec l’algorithme CART, qui est majoritairement utilisé, mais sachez qu’il en existe beaucoup d’autres, par exemple :
On réalise un premier arbre dont l’objectif est de comprendre la survie au naufrage du Titanic.
Nous utiliserons les variables suivantes :
Pclass = classe (1ère, 2ème, 3ème)Sex = sexeAge = âgeSibSp = Nombre de frères et sœurs / conjoints à bordParch = Nombre de parents / enfants à bordFare = prix du billetEmbarked = port d’embarquementSurvived = survie au naufrage (Oui / Non).# Indice la rédaction est très proche de celle d'un modèle de régression
## On utilisera la fonction `rpart()` pour produire le modèle
## Petit rappel pour avoir l'aide d'une fonction on utilise le `?` de vant la fonction `?rpart()`
abc <- rpart(VD ~ VI1 + VI2 ,
data = ,
method = )
# Pour représenter graphiquement un arrbre on utilisera la fonction `plot()` associé à la fonction `text()`## Construction d'un premier arbre basique pour expliquer la survie au naufrage :
modele <- rpart(Survived ~ Pclass + Sex + Age + SibSp + Parch + Fare + Embarked,
data = titanic_data,
method = "class")
## Graphique basique avec les paramètre par défaut :
plot(modele, compress=TRUE, margin = 0.1)
text(modele, pretty = 0)
On produit notre arbre élagué !
# Etape 1 et 2 : Tout peut se faire via la fonction `rpart()`, on pourra utiliser les argument de rpart.control
## A savoir `cp=`, `minbucket=`, `minsplit=` et `xval`
## On visualise notre arbre complet
# On identifie le bon niveau de compléxité
## Les scores de CP sont enregistré dasn notre modèle
## On peut les visualiser via un graphique avec `plotcp()`...
## Ou à l'aide d'un tableau numérique

# Construction d'un premier arbre basique pour expliquer la survie au naufrage :
## je choisis ici de pousser vers un CP très faible
## On aurait pu choisir sur les individus de nos sous groupe avec minsplit ou mminbucket
## xval renvoie au nombre de validation croisé ici j'ai fixé ce nombre au nombre d'individu dans notre jeux de données.
modele <- rpart(Survived ~ Pclass + Sex + Age + SibSp + Parch + Fare + Embarked,
data = titanic_data,
cp = 0.001, xval= nrow(titanic_train))
plot(modele, compress=TRUE, margin = 0.1)
text(modele, pretty = 0)
## Le graphique des CP
plotcp(modele)
## le tableau :
modele$cptable
#Sélection du CP minimal (critère 1)
cp_optimal = print(modele$cptable[which.min(modele$cptable[,4]),1])
arbre_titanic_opt <- prune(modele,cp=cp_optimal)
plot(arbre_titanic_opt, compress=TRUE, margin = 0.1)
text(arbre_titanic_opt, pretty = 0)
# CP le plus élevé dans la zone d'erreur acceptable (critere2)
xerror_min <- min(modele$cptable[,"xerror"])
xerror_seuil <- xerror_min + modele$cptable[which.min(modele$cptable[,"xerror"]), "xstd"]
cp_optimal <- max(modele$cptable[modele$cptable[,"xerror"] <= xerror_seuil, "CP"])
arbre_titanic_opt <- prune(modele,cp=cp_optimal)
plot(arbre_titanic_opt, compress=TRUE, margin = 0.1)
text(arbre_titanic_opt, pretty = 0)
Obtenir des infos en plus sur notre modèle : l’importance de nos variables et une traduction plus littérale de notre arbre…
# L'importance est aussi donné dans le modèle !
# `print()` et `summary()` les meilleurs amis des modèles !
# Importance des variables dans notre arbre
importance <- arbre_titanic_opt$variable.importance
# Importance normalisée en %
importance_pct <- arbre_titanic_opt$variable.importance / sum(arbre_titanic_opt$variable.importance) * 100
barplot(importance_pct,
las = 2, col = "skyblue",
main = "Importance des variables (Titanic)",
ylab = "Importance (%)")
#Afficher un résumé des règles de l'arbre
print(arbre_titanic_opt)
# résumé détaillé avec coupures
summary(arbre_titanic_opt)
De jolis arbres!
Il existe des packages qui permettent de customiser la sortie classique réaliser avec plot(), et text(), notamment : rpart.plot, partykit, rattle ou encore visNetwork si on veut le rendre interactif !
#install.packages("rpart.plot")
#install.packages("partykit")
#install.packages("rattle")
#install.packages("visNetwork")
library(rpart.plot)
library(partykit)
library(rattle)
library(visNetwork)
# Avec rpart.plot
rpart.plot(arbre_titanic_opt,
type = 2, extra = 104, fallen.leaves = TRUE,
box.palette = "RdBu", branch.lty = 3,
shadow.col = "gray",
main = "Style rpart.plot")
# Avec partykit
plot(as.party(arbre_titanic_opt), main = "Style partykit")
# Avec rattle
fancyRpartPlot(arbre_titanic_opt,
caption = "Arbre de décision pour prédire la survie au naufrage du Titanic",
palettes = c("Greens", "Blues"), # couleurs pour les classes
main = "Style rattle",
sub = "Source : jeu de données Titanic")
# Avec visNetwork
visTree(arbre_titanic_opt, nodesPopSize = TRUE, minNodeSize = 10, maxNodeSize = 30)




L’arbre de décision est un excellent outil de prédiction, on peut donc s’appuyer sur l’arbre réalisé pour en déduire la survie !
Auriez-vous survécu ?
# On situe le dossier dans lequel se trouve nos données
csv_path <- here("data", "titanic_predict.csv")
# Lecture du CSV dans un dataframe
titanic_predict <- read.csv(csv_path)
titanic_predict <- titanic_predict %>%
mutate(
Survived = factor(Survived),
Pclass = factor(Pclass),
Sex = factor(Sex),
Embarked = factor(Embarked)
)
pred <- predict(arbre_titanic_opt, titanic_predict, type = "class")
print(pred)
pred <- predict(arbre_titanic_opt, titanic_predict)
print(pred)
# Prédire pour vérifier la puissance de son arbre !
library(caret)
train_index <- createDataPartition(titanic_data$Survived, p = 0.8, list = FALSE)
train_data <- titanic_data[train_index, ]
test_data <- titanic_data[-train_index, ]
# Modèle
arbre <- rpart(Survived ~ Pclass + Sex + Age + SibSp + Parch + Fare + Embarked,
data = train_data, method = "class")
# Prédictions
pred <- predict(arbre, test_data, type = "class")
# Matrice de confusion
conf_matrix <- confusionMatrix(pred, test_data$Survived)
print(conf_matrix)
Les forêts aléatoires (ou random forest) sont une extension des arbres de décisions visant à être encore plus efficace sur de la prédiction.
Le principe sous-jacent est plutôt simple, une multitude de modèles faibles et simples une fois combinés formeront un modèle robuste!
L’algorithme va construire une “forêt” d’arbre de décision, c’est à dire plusieurs centaines voire milliers, construite de manière aléatoire.
Finalement absolument tout est dans le nom!
Pour chaque arbre conçu dans notre modèle un échantillon aléatoire d’individus est selectionné.
Pour chaque noeud des arbre (et donc construction d’un sous-groupe) on utilise qu’ un sous-ensemble des variables possible.
Une des particularités dans la forêt aléatoire c’est qu’il n’y a pas “d’élagage” des arbres de décisions, c’est à dire que l’arbre pousse jusqu’au sur-ajustement, la construction de l’arbre se poursuit tant que les feuilles terminales ne sont pas trop petites.
Une fois le modèle élaboré, tous les arbres de décision vont tourner sur les données qui n’auront pas servies à leur construction.
La prédiction finale correspondra à la modalité prédite le plus fréquemment (dans le cas d’une variable à prédire qualitative) , ou au score moyen de tous les arbres de décisions (dans le cas d’une variable quantitative).
L’importance des variables explicatives sera fournie par une moyenne, réalisée sur l’ensemble des arbres de décision, de la diminution de l’erreur sur chaque ramification des arbres régit par la variable explicative.
Réaliser notre première forêt aléatoire !
Le package de base est randomForest, avec sa fonction randomForest().
Attention cette fonction ne supporte pas les données manquantes, il faudra les imputer ! Sinon il existe des packages alternatifs (
randomForestSRC,partyKit…)
La forêt aléatoire, en revanche ne produit pas de jolis visuels comme les arbres de décision. Mais on va particulièrement s’intéressé à l’importance des variables !
library(randomForest)
# Imputation des données manquantes
titanic_complet = rfImpute(Survived ~ Pclass + Sex + Age + SibSp + Parch + Fare + Embarked, data= titanic_data)
set.seed(123)
foret <- randomForest(Survived ~ Pclass + Sex + Age + SibSp + Parch + Fare + Embarked,
data = titanic_complet,
ntree = 500, # Nombre d'arbres
mtry = 3, # Nombre de variables testées à chaque division
importance = TRUE, # Calcul de l'importance des variables
do.trace = 50) # Affichage du progrès tous les 50 arbres
# Résumé de la forêt
print(foret)
# Prédictions forêt aléatoire
pred_foret <- predict(foret, test_data, type = "class")
conf_matrix_foret <- confusionMatrix(pred_foret, test_data$Survived)
print(conf_matrix_foret)
# 1. Évolution de l'erreur avec le nombre d'arbres
plot(foret, main = "Évolution de l'erreur selon le nombre d'arbres")
legend("topright", legend = c("OOB", "Décédé", "Survivant"),
col = c("black", "red", "green"), lty = 1)
# Accéder aux valeurs ajustées :
print(foret$predicted)
# 2. Importance des variables
## les variables les plus importantes sont celles qui provoquent la plus forte baisse de `MeanDecreaseAccuracy` !
print(foret$importance)
# Graphiques d'importance des variables
varImpPlot(foret, type = 1, main = "Importance - Précision moyenne")
varImpPlot(foret, type = 2, main = "Importance - Indice de Gini")
# 3. Erreur Out-of-Bag (OOB) (estimation de l'erreur de prédiction)
# c'est un indicateur de performance de notre forêt aléatoire, une sorte de validation croisé mais calculé sur l'apprentissage sasn un jeux de données extérieur.
oob_error <- foret$err.rate[nrow(foret$err.rate), "OOB"]
print(paste("\nErreur OOB finale:", round(oob_error, 4)))
# OPTIMISATION DE LA FORÊT ALÉATOIRE
# ============================================================================
# Recherche du mtry optimal
mtry_optimal <- tuneRF(titanic_complet[, c("Pclass", "Sex", "Age", "SibSp", "Parch", "Fare", "Embarked")],
titanic_complet$Survived,
stepFactor = 1.5,
improve = 0.01,
ntree = 300,
doBest = FALSE,
plot = TRUE,
main = "Optimisation du paramètre mtry")
# Forêt optimisée
foret_optimisee <- randomForest(Survived ~ Pclass + Sex + Age + SibSp + Parch + Fare + Embarked,
data = titanic_complet,
ntree = 500,
mtry = mtry_optimal[which.min(mtry_optimal[,2]), 1],
importance = TRUE)
print("Forêt optimisée")
print(foret_optimisee)
# Prédictions avec la forêt optimisée
pred_foret_opt <- predict(foret_optimisee, test_data, type = "class")
conf_matrix_foret_opt <- confusionMatrix(pred_foret_opt, test_data$Survived)
#### Prédiction sur un nouveau jeux de donnée
#Attention l'algorithme est très sensible, il faut que les nouvelles données aient exactement les même prédicteurs et que toutes les modalités des facteurs ayant entrainé le modèle soit aussi présentes dans le nouveau jeu de donnée.
## Ainsi ce nouveau jeux de données utilisé ici à une dernière ligne factice mais avec la modalité "vide" pour la variable embarqueement, sans cette ligne impossible de réaliser la prédiction
# En tout cas dasn le cadre de ce package
# On situe le dossier dans lequel se trouve nos données
csv_path <- here("data", "titanic_predict2.csv")
# Lecture du CSV dans un dataframe
titanic_predict2 <- read.csv(csv_path)
titanic_predict2 <- titanic_predict2 %>%
mutate(
Pclass = factor(Pclass),
Sex = factor(Sex),
Embarked = factor(Embarked)
)
titanic = titanic_predict2 %>% select(Pclass, Sex,Age,SibSp,Parch,Fare, Embarked)
# 1. PRÉDICTION DES CLASSES (0 = Décédé, 1 = Survivant)
predictions_classes <- predict(foret, titanic, type = "class")
# 2. PRÉDICTION DES PROBABILITÉS
predictions_probabilities <- predict(foret, titanic, type = "prob")